Αν f συνάρτηση συνεχής στο διάστημα και για κάθε ισχύει τότε .
Σωστό
Λάθος
Έστω f μια συνάρτηση συνεχής σε ένα διάστημα Δ και παραγωγίσιμη σε κάθε εσωτερικό σημείο x του Δ. Αν η συνάρτηση f είναι γνησίως αύξουσα στο Δ τότε σε κάθε εσωτερικό σημείο x του Δ.
Σωστό
Λάθος
Αν η συνάρτηση f είναι συνεχής στο και η συνάρτηση g είναι συνεχής στο , τότε η σύνθεσή τους είναι συνεχής στο .
Σωστό
Λάθος
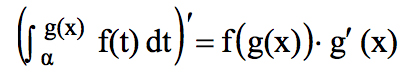
Αν f είναι μια συνεχής συνάρτηση σε ένα διάστημα Δ και α είναι ένα σημείο του Δ, τότε με την προϋπόθεση ότι τα χρησιμοποιούμενα σύμβολα έχουν νόημα.